Advanced Characterization of Nb- and W-Doped Aluminum Alloys for Hydrogen Applications Using Sci-Trace

In the context of the rapidly developing hydrogen economy, the search for advanced
materials that can withstand hydrogen-induced degradation is more urgent than ever. One
area of active research involves aluminum alloys doped with elements such as niobium (Nb)
and tungsten (W), which are believed to improve the strength and structural stability of the
material.
Our team recently conducted a series of measurements using our Sci-Trace to investigate
the structural behavior of such alloys when exposed to hydrogen. The presence of hydrogen
in the environment accelerates corrosion processes and can significantly compromise
material performance, making it essential to understand how specific alloying elements
interact under these conditions.
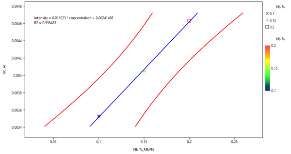
Niobium could be reliably quantified in the alloy matrix using our Sci-Trace. Tungsten, on the
other hand, presents a unique set of challenges: it tends to sublimate under elevated
temperatures, interacts strongly with surrounding elements, and is often distributed
inhomogeneously within the alloy. These factors render it difficult to detect and analyze using
conventional methods.



Despite these complications, Sci-Trace enabled us to successfully detect the presence of
tungsten and observe its behavior within the alloy. This ability to capture and analyze such
elusive elements demonstrates the power of our system and opens the door to a deeper
understanding of how W-doped aluminum alloys perform in hydrogen-rich environments.
By enabling detailed compositional analysis of these complex materials, Sci-Trace
contributes valuable insights for the development of next-generation structural alloys suitable
for the hydrogen economy.
Contacts
Contact Us
Take the first step to easier and speedier chemical analysis. Reach out to us and we will be in touch soon!
AtomTrace a.s.
Vědecko-technický park profesora Lista
Kolejní 9, Brno 612 00
Czech Republic
Identification number: 03396916
VAT: CZ03396916
E-mail: info@atomtrace.com
GDPR
Company AtomTrace a.s. is processing personal data. Information on the processing of personal data is available here.
Sales
Are you interested in our products?
Contact our sales team: sales@atomtrace.com
Support
Or contact our support team: support@atomtrace.com

Handcrafted with love by STUDIO SYNAPSE